ABOUT
PRODUCT
news
Quality&EHS
JOB
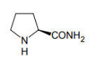
化學名稱
L-脯氨酰胺
CAS號
7531-52-4
化學結構式
聯(lián)系電話1:139-6116-5336(閔總)
聯(lián)系電話2:180-1221-6066(王總)
公司地址:河南省開封市禹王臺區(qū)310國道與奉賢街交叉口
掃一掃,手機瀏覽
CopyRight ? 2024 開封緣潤藥業(yè)有限公司 All Rights Reserved. 豫ICP備2024042647號-1